Ответы
Ответ дал:
1
2х^2-1,28=0
2х^2=1,28
х^2=1,28/2
х=√0,64
х=0.8
отметьте этот ответ как лучший пожалуйста
Ответ дал:
1
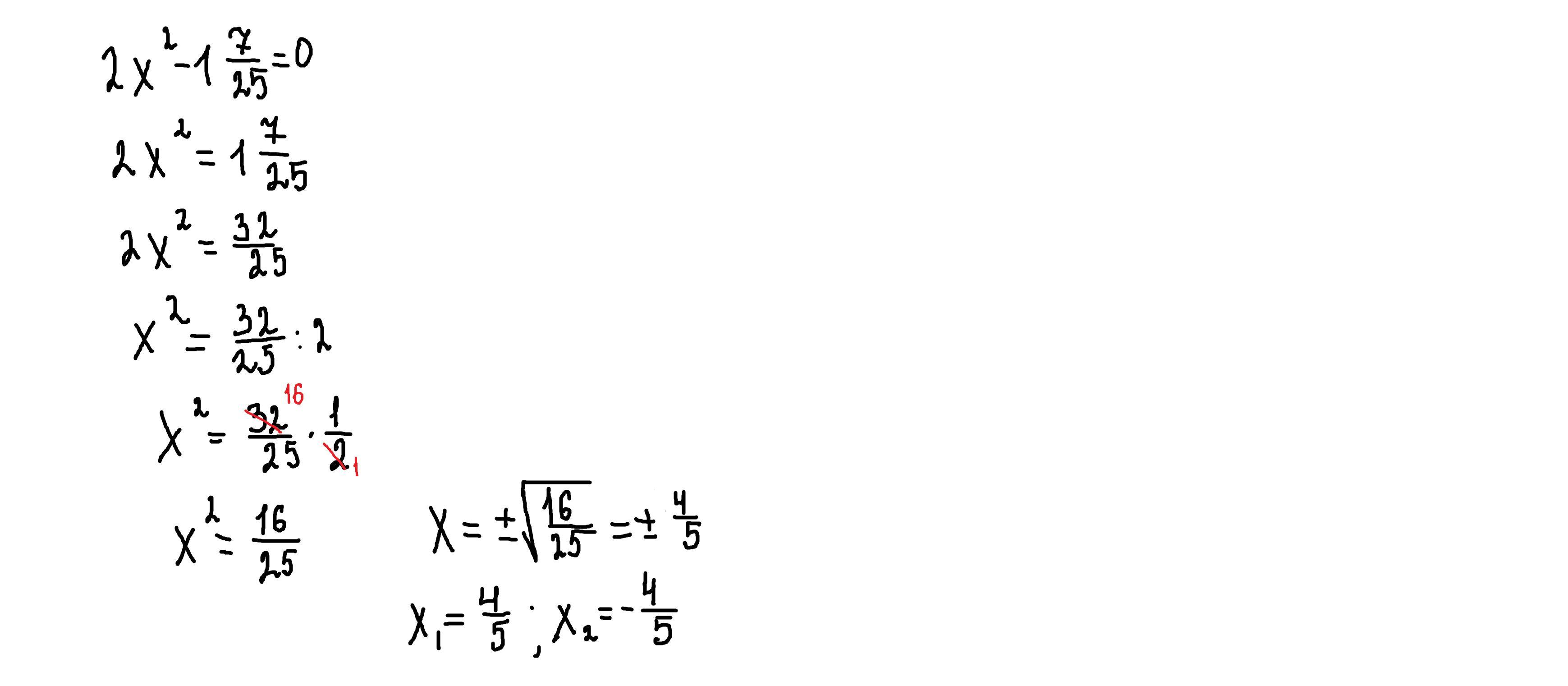
Ответ:
х1=4/5 х2= - 4/5
Пошаговое объяснение:
Приложения:

Вас заинтересует
1 год назад
1 год назад
1 год назад
1 год назад
3 года назад