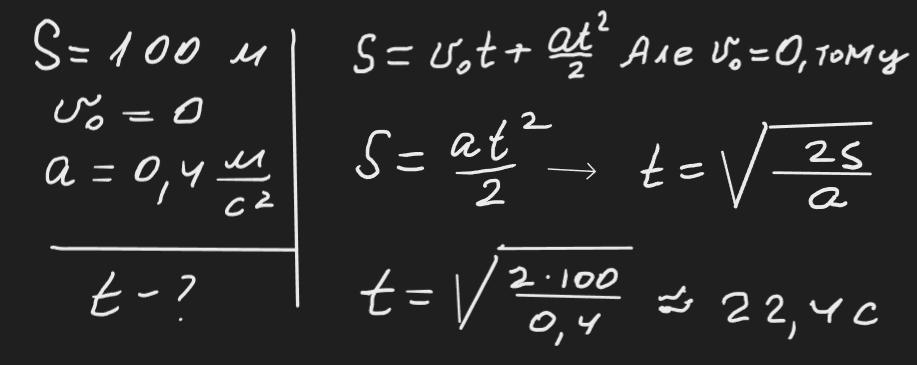
За якій час тіло пройде шлях S=100м якщо воно рухається рівноприскорено із стану спокою a=0,4м/с^2
Ответы
Ответ дал:
2
Ответ:
- За t=22,4 с тело прошло 100 м
Объяснение:
Дано:
S=100 м
a=0,4 м/с²
Найти: t - ?
Решение:
Уравнение движения: S=at²/2
Тогда время движения t:
t² = 2S / a = 2·100 м / (0,4 м/с²) = 500 с²
t ≈ 22,4 с
Ответ дал:
4
Відповідь: ≈ 22,4 с
Пояснення:
Приложения:

nastyagrushko008:
привет
Вас заинтересует
1 год назад
1 год назад
1 год назад
3 года назад
3 года назад