• Предмет: Алгебра
  • Автор: ipro08945
  • Вопрос задан 2 года назад

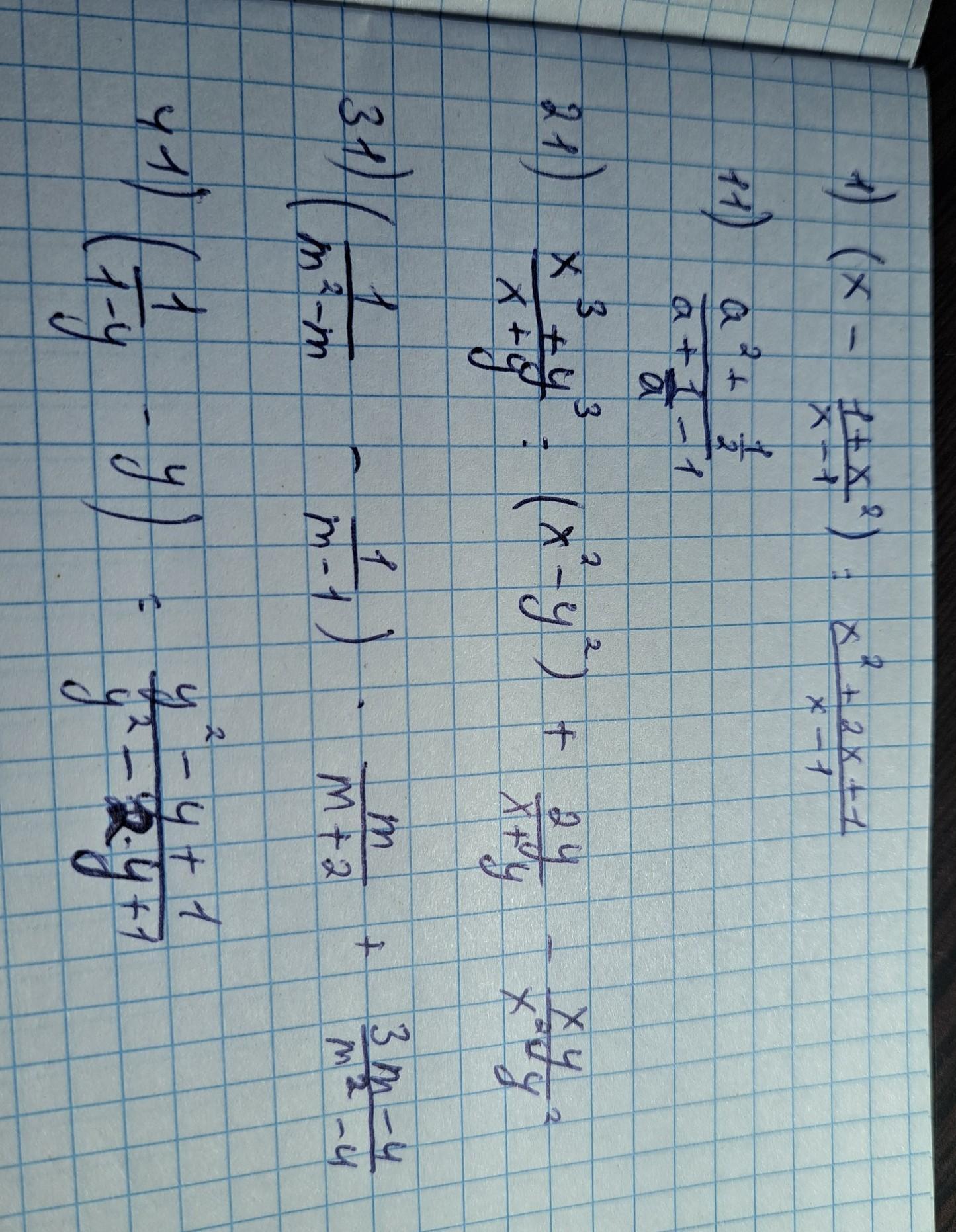
сократите дроби пожалуйста срочно надо
(в последнем где стоит точка это не умножение)​

Приложения:

Ответы

Ответ дал: konfetokabrawlstars
1

Ответ:

в первом задании, если вам непонятны значения дробей можете использовать вместо самой дроби, знак деления. Но тогда значения нужно взять в скобки. Насчёт ответов, вроде все верно, но насчёт варианта решения. Они бывают разные, зависти от класса. Я в девятом классе, мы решаем так.

Объяснение: в любом случае удачи.

Приложения:

ipro08945: спасибо большое
Вас заинтересует