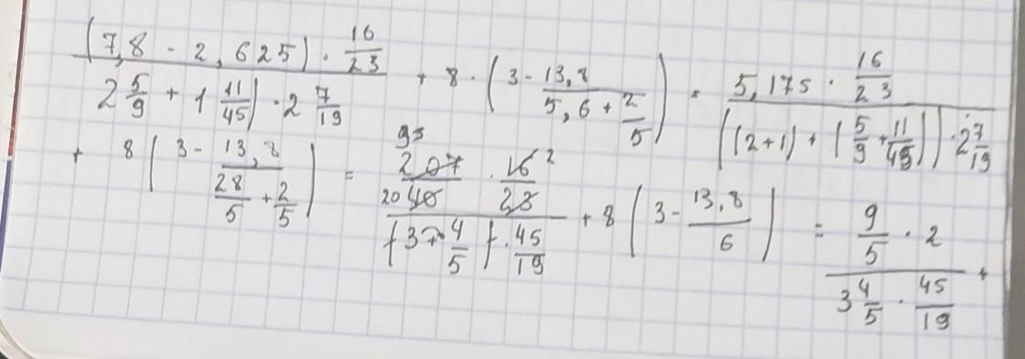
помогите только решите полностью по действиям пж за это 30 баллов дам
Приложения:

T1mpol:
В чём ошибка дубик
Ответы
Ответ дал:
1
Ответ:
Вот ответ. Поставь 5 звёзд.
Приложения:


Вас заинтересует
1 год назад
1 год назад
1 год назад
1 год назад
3 года назад
3 года назад
8 лет назад
8 лет назад