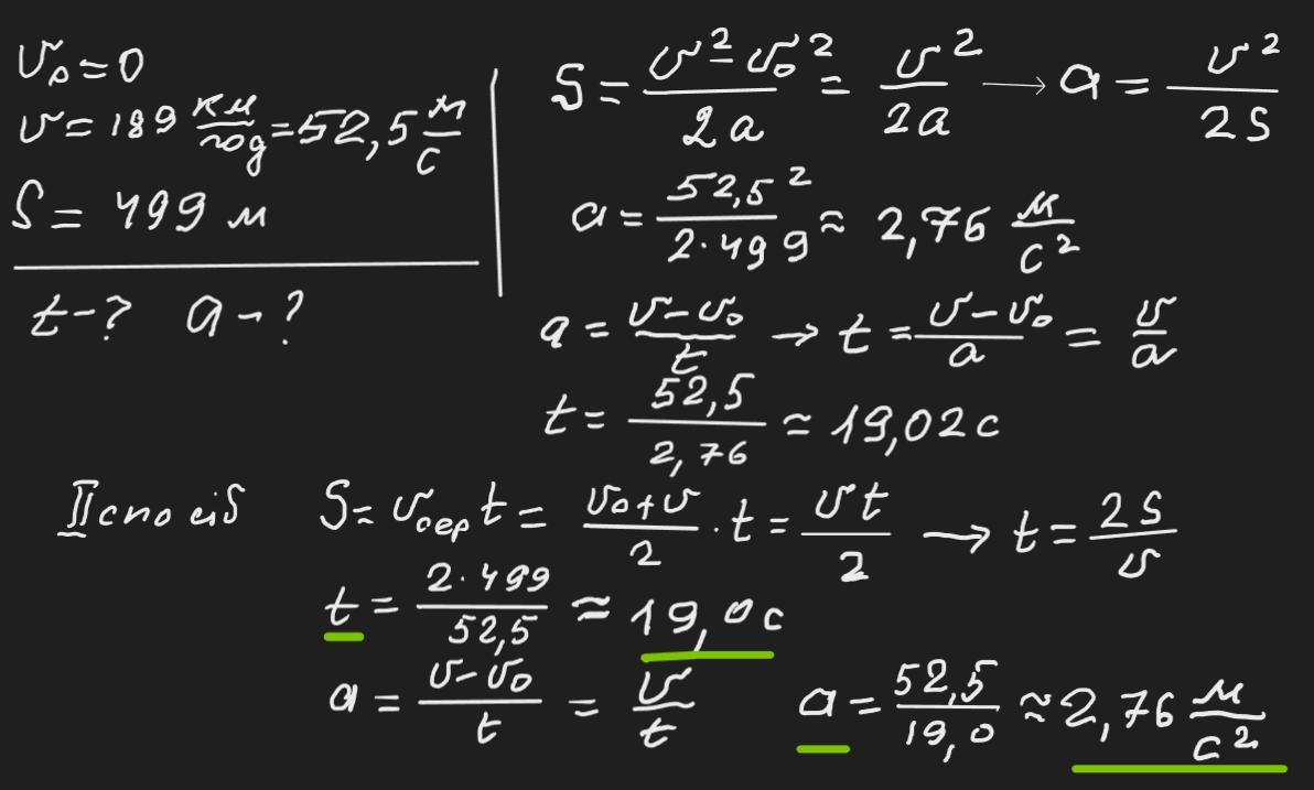
Літак у момент відривання від Землі має швидкість 189км/год і пробігає по бетонній доріжці відстань 499м. Скільки часу триває розбіг, і з яким прискоренням рухався при цьому літак?
Ответы
Ответ дал:
2
Прикреп..........................
Приложения:

Darksidepro:
Це не я
Ответ дал:
1
Відповідь: ≈ 19,0 с ≈ 2,76 м/с²
Пояснення:
Приложения:

вважаєте правильною
Вас заинтересует
1 год назад
1 год назад
3 года назад
3 года назад
8 лет назад
8 лет назад