• Предмет: Алгебра
  • Автор: sasadrondel640
  • Вопрос задан 2 года назад

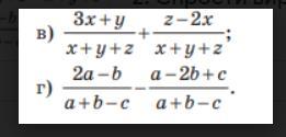
алгебра 8 клас
.................................

Приложения:

Ответы

Ответ дал: lugowskidima
1

на фото, хорошего дня

Приложения:
Вас заинтересует