• Предмет: Математика
  • Автор: zeka63065
  • Вопрос задан 2 года назад

Помогите срочно пжпж

Приложения:

Ответы

Ответ дал: Pavecenko808
0

Ответ:

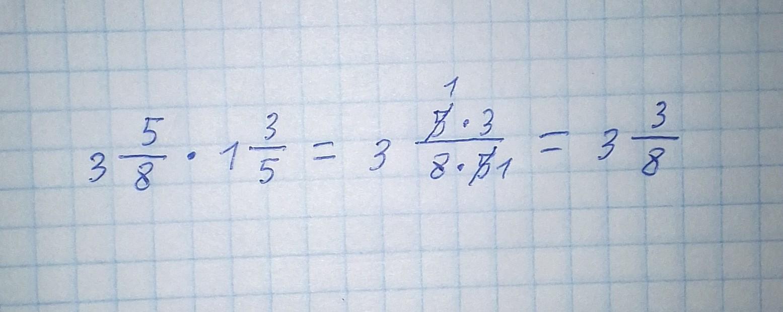
Буде = 3 3/8

Пошаговое объяснение:

Усе обчислення дивись на фото...

Приложения:
Вас заинтересует