• Предмет: Математика
  • Автор: 495pk8y4jy
  • Вопрос задан 2 года назад

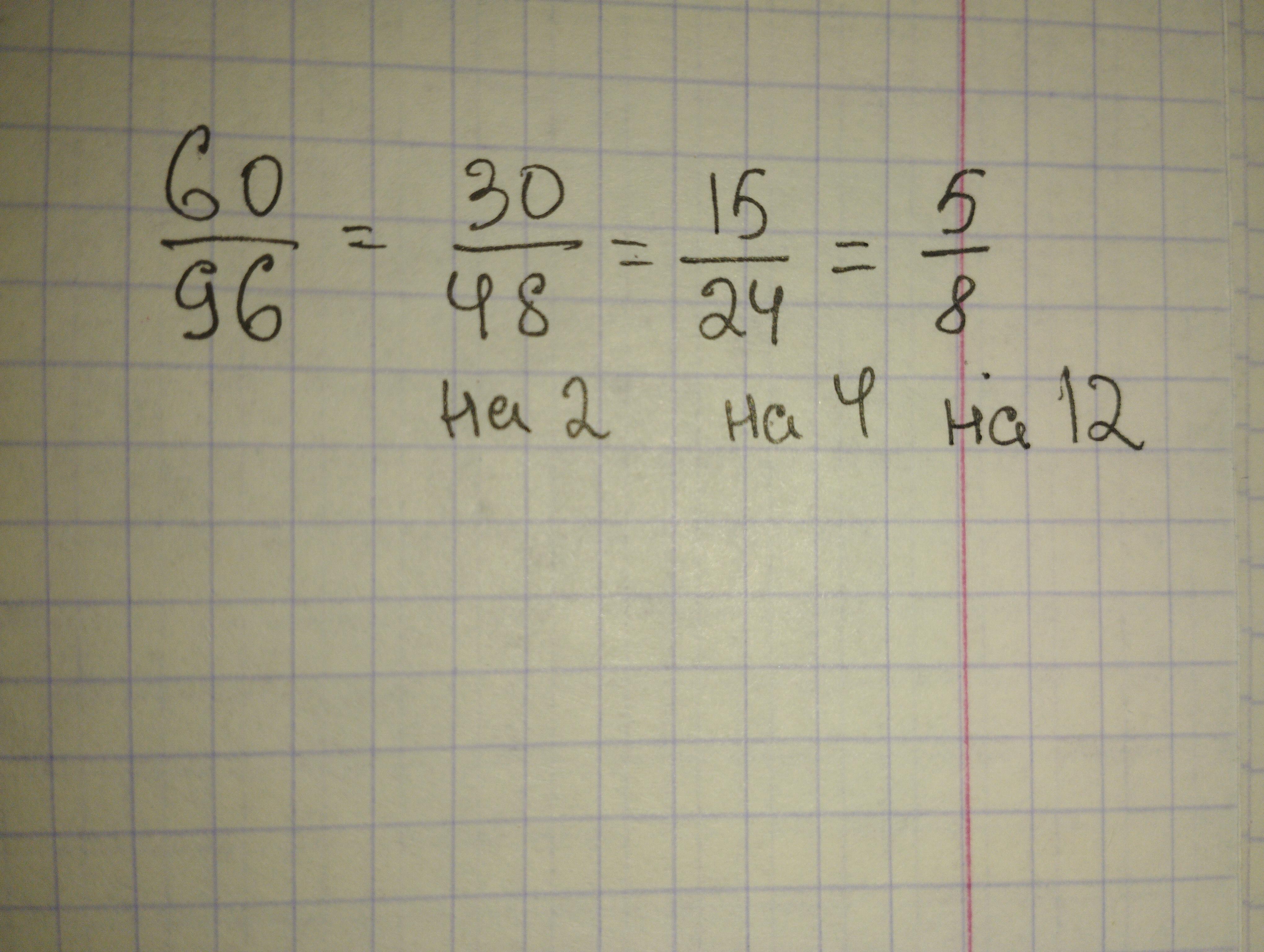
60/96=
Сократить дробь на 2

Ответы

Ответ дал: DmitryEvtushenko
0

Відповідь:

Покрокове пояснення:

Приложения:
Ответ дал: glavnivmozg
0

Ответ:

60 /96 = 5 · 12 8 · 12 = 5,8

Пошаговое объяснение:

думаю допомогла

Вас заинтересует