Ответы
Ответ дал:
0
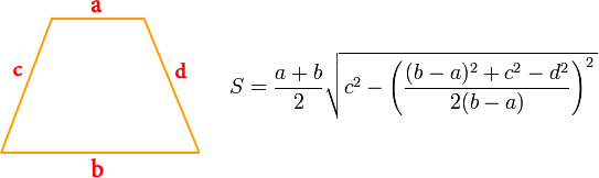
S=31.74902/////////////////////////////////////////
Приложения:

Ответ дал:
0
960...........................
Приложения:

Вас заинтересует
2 года назад
2 года назад
8 лет назад
10 лет назад
10 лет назад
10 лет назад