• Предмет: Математика
  • Автор: topkostiancom
  • Вопрос задан 2 года назад

ДАЮ 85 БАЛОВ ФОТО ПОЖАЛУЙСТА СРОЧНО.

Приложения:

Ответы

Ответ дал: iramazurk
1

Ответ:

8

Пошаговое объяснение:

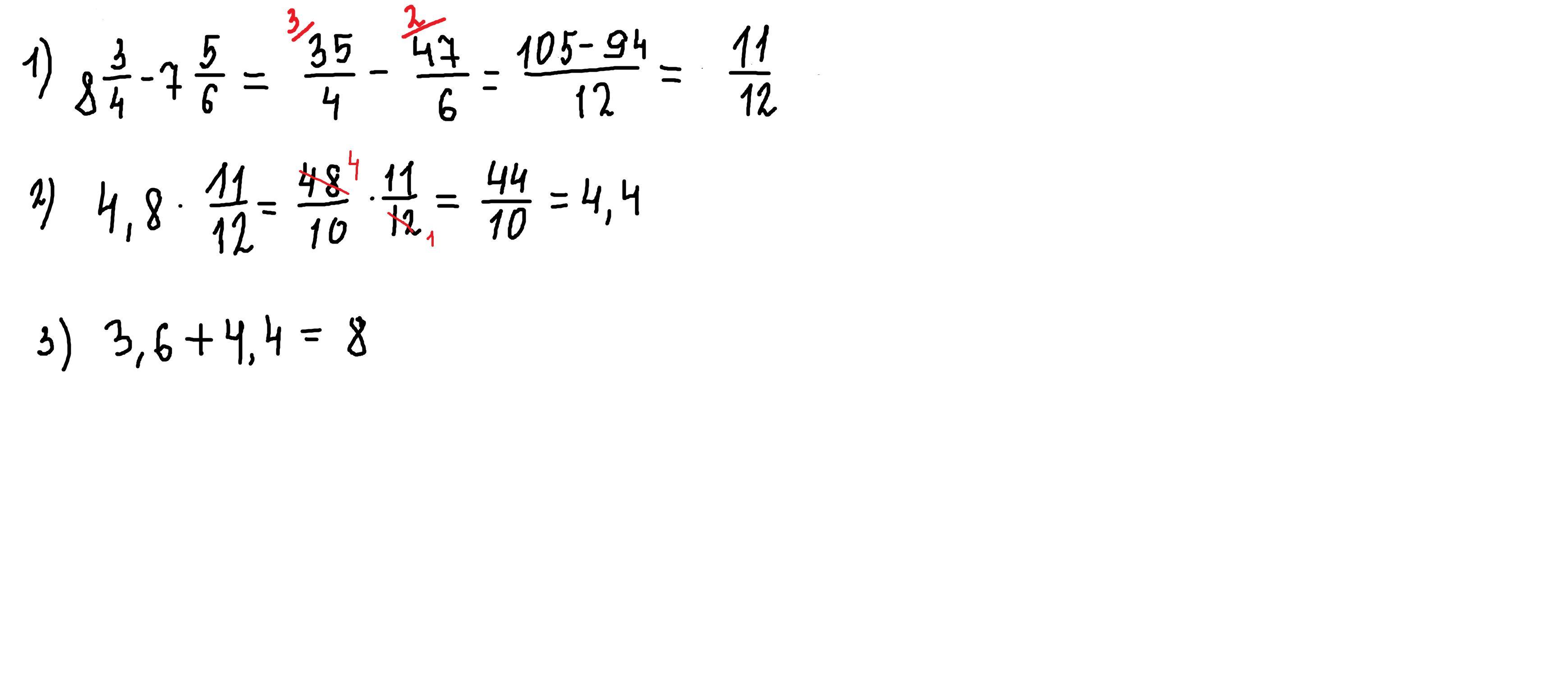
1) 8 3/4 - 7 5/6 = 8 9/12 - 7 10/12 = 7 21/12 - 7 10/12 = 11/12

2) 4,8 * 11/12 = 4 8/10 * 11/12 = 48/10 * 11/12 = 4/10 * 11/1 = 44/10 = 4,4

3) 3,6 + 4,4 = 8

Ответ дал: parus77
0

Ответ:

8

Пошаговое объяснение:

решение внизу

Приложения:
Вас заинтересует