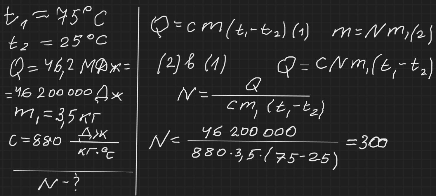
унаслідок остигання від 75 до 25 градусів цельсія піч віддає 46,2 теплоти. піч складається з цеглин маса кожної дорівнює приблизно 3,5 кг скільки цеглни потрібно для виготовлення такої печі
kapitulasasa4:
срочно
Ответы
Ответ дал:
1
Відповідь: 300
Пояснення:
Приложения:

Вас заинтересует
1 год назад
1 год назад
1 год назад
1 год назад
3 года назад
3 года назад