• Предмет: Алгебра
  • Автор: idenus308
  • Вопрос задан 2 года назад

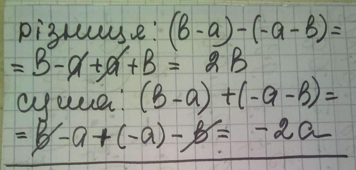
Знайдіть різницю і суму Двочленів b - a і -a - b Срочно!!!!

Ответы

Ответ дал: manyny06
1

Ответ:

решение смотри на фотографии

Приложения:
Ответ дал: iramazurk
0

Объяснение:

(b - a) - (-a - b) = b - a + a + b =

(b + b) + (-a + a) = 2b + 0 = 2b - разница

(b - a) + (-a - b) = b - a - a - b =

(b - b) + (-a - a) = 0 + (-2a) = -2a - сумма

Вас заинтересует