• Предмет: Алгебра
  • Автор: nastyaaaa234
  • Вопрос задан 2 года назад

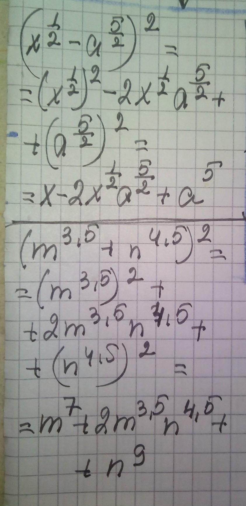
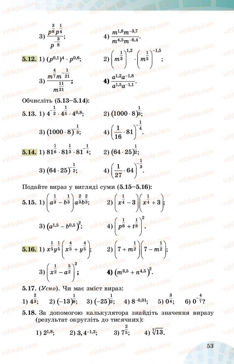
розв*язати №5.16.Алгебра .терміново

Приложения:

Ответы

Ответ дал: manyny06
0

Ответ:

решение смотри на фотографии

Приложения:
Вас заинтересует