• Предмет: Алгебра
  • Автор: Аноним
  • Вопрос задан 2 года назад

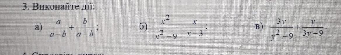
Дроби все на фото видно

Приложения:

Ответы

Ответ дал: leraice7
1
1. (a + b)/(a - b). 2) - (3x)/(x ^ 2 - 9). 3) (12y + y ^ 2)/(3y ^ 2 - 27)

leraice7: можно как лучший ответ отметить?
Ответ дал: Maxsemenukha
0

Ответ:

  1. \frac{a + b}{a - b}
  2. \frac{3x}{x^{2} - 9}
  3. \frac{x^{2}+12y}{3y^{2}-27}

Объяснение:

Вас заинтересует