• Предмет: Алгебра
  • Автор: ERNAR
  • Вопрос задан 11 лет назад

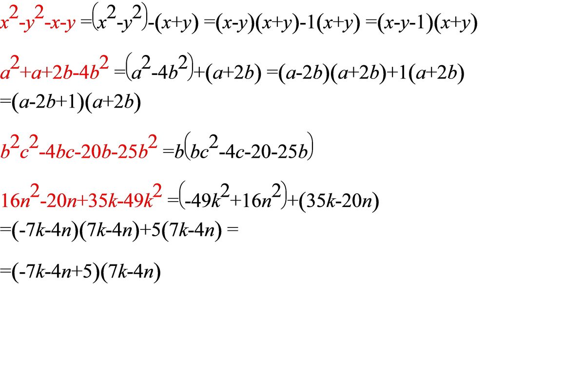
а)x^2-y^2-x-y

b)a^2+a+2*b-4*b^2

c)b^2*c^2-4bc-20b-25b^2

d)16n^2-20n+35k-49k^2 

Ответы

Ответ дал: triolana
0

файл

====================== 

Приложения:
Вас заинтересует