Ответы
Ответ дал:
0
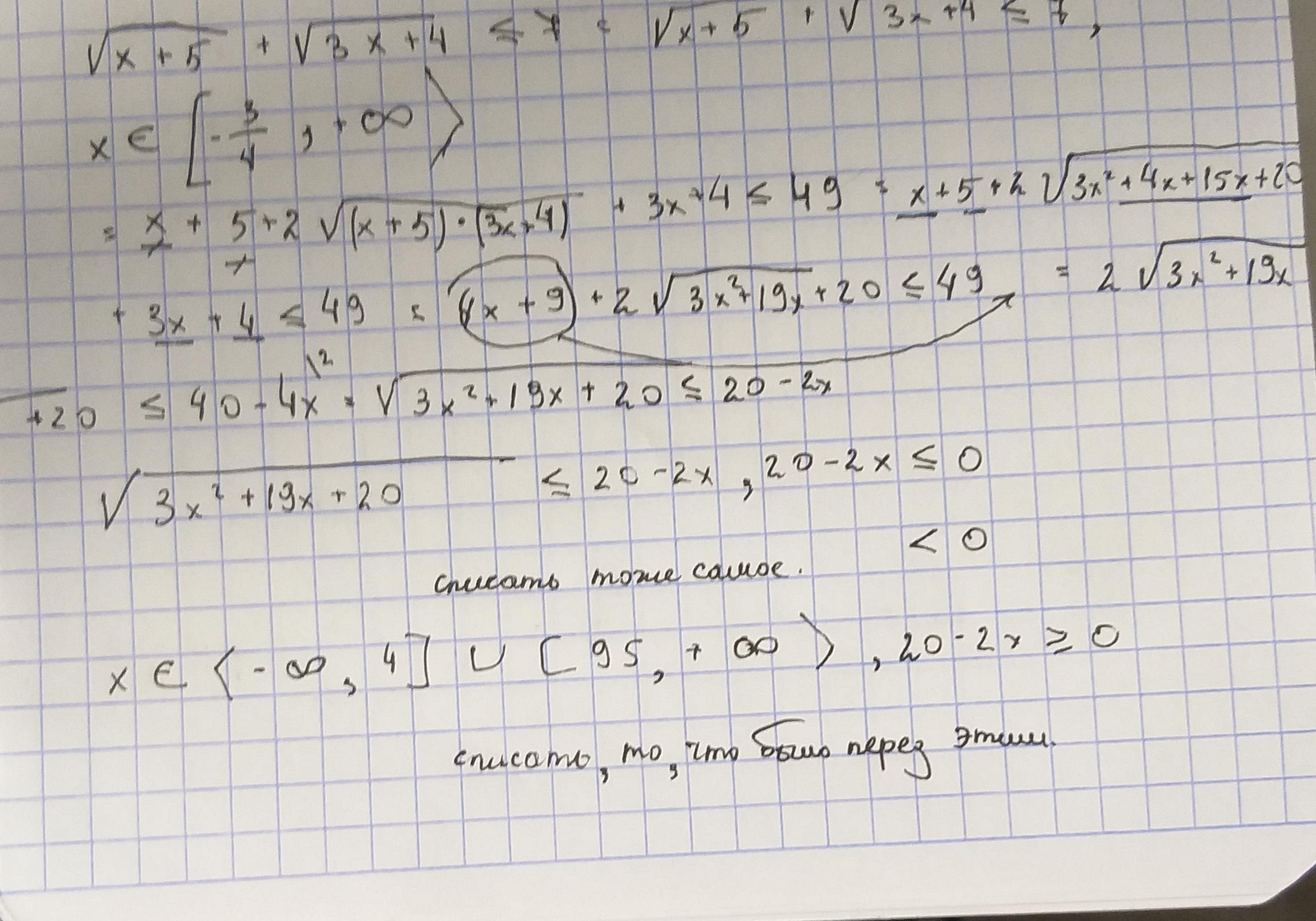
Ответ:
Жду пять звёзд и признание ответа лушим
Приложения:


Вас заинтересует
1 год назад
1 год назад
1 год назад
1 год назад
3 года назад