• Предмет: Алгебра
  • Автор: Dustly
  • Вопрос задан 2 года назад

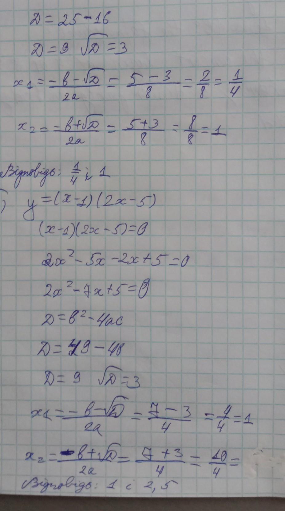
Найти нули функции:
а) у = 4х2 – 5х + 1
б) у = (х – 1)(2х – 5).​

Ответы

Ответ дал: mishataranov66
1

ответы будут, 1/4 и 1, и 1 и 2,5

Приложения:

Dustly: спасибо!
Вас заинтересует