• Предмет: Математика
  • Автор: maksimsusidenko063
  • Вопрос задан 2 года назад

Знайди корінь рівняння та округли його до сотих.

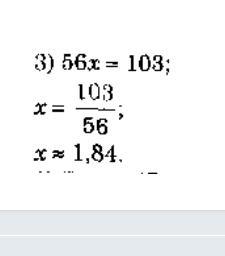
1) 56х=103
17 : х=6​

Ответы

Ответ дал: bsultanbek7740
1

Ответ:

56x=103. 17:x=6

x=103:56. x=17:6

x=1,8. x=2,8

Пошаговое объяснение:

вопроса не понятно как то

Ответ дал: tmakarovaa
1

Відповідь:

Покрокове пояснення:

Приложения:
Вас заинтересует