• Предмет: Математика
  • Автор: vadimmisusta
  • Вопрос задан 2 года назад

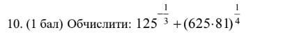
нужна очень помощь по матеше все на фото

Приложения:

Ответы

Ответ дал: Аноним
1

Ответ:

15,2

Пошаговое объяснение:

125^(-1/3) +(625·81)^(1/4)=(5³)^(-1/3) +(5⁴·3⁴)^(1/4)=5^(3·(-1/3)) +(5·3)^(4·1/4)=5⁻¹+15¹=1/5 +15=15,2

Вас заинтересует