• Предмет: Математика
  • Автор: nikitadmitriv90
  • Вопрос задан 2 года назад

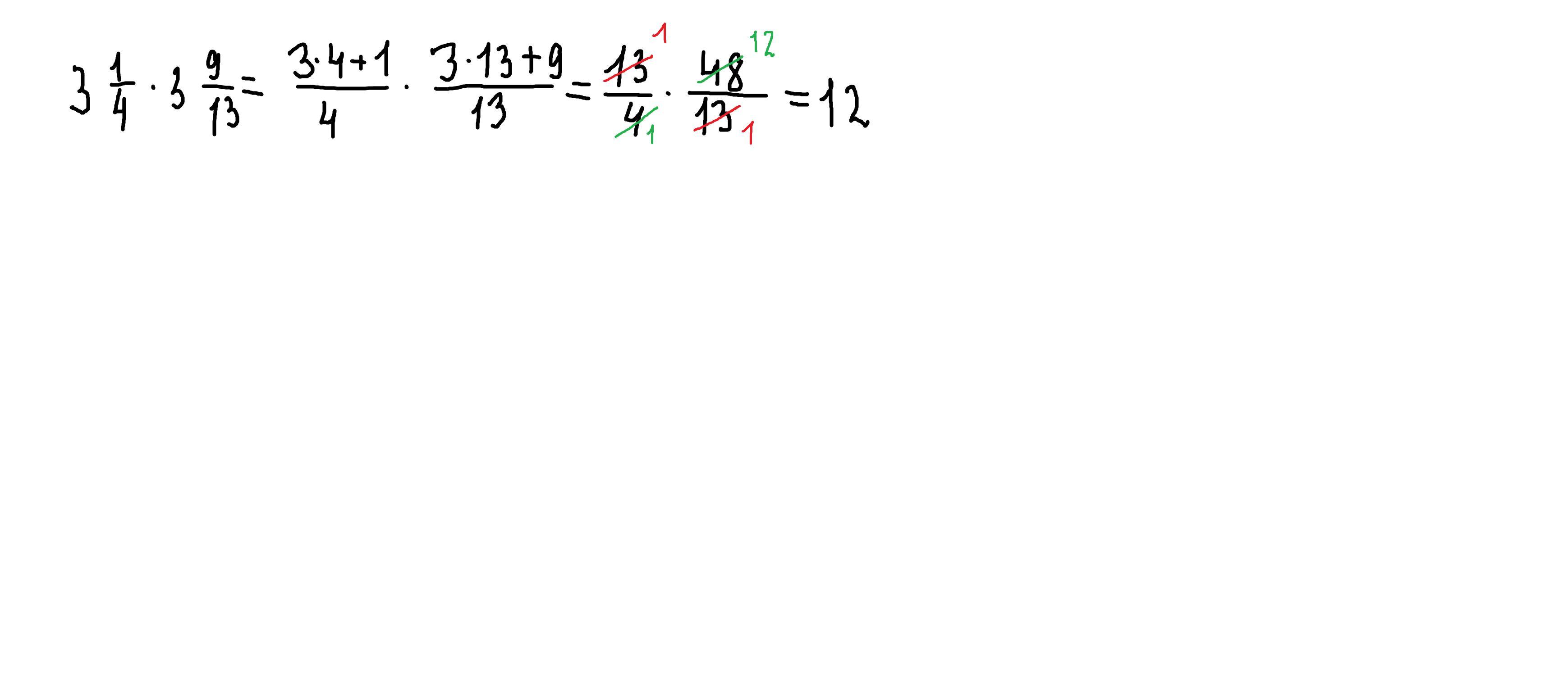
3целых 1/4 •3целых 9/13
С РЕШЕНИЕМ

Ответы

Ответ дал: jekadva
1

Ответ:

Пошаговое объяснение:

3целых 1/4 •3целых 9/13 = 13/4 * 48/13 = 12

Ответ дал: parus77
1

Ответ:

12

Пошаговое объяснение:

Приложения:
Вас заинтересует