• Предмет: Математика
  • Автор: vladmykhalchuk8
  • Вопрос задан 2 года назад

ПРОШУ ОЧЕНЬ СИЛЬНО ПОМОГИТЕ ДАЮ 30 БАЛЛОВ ​

Приложения:

Ответы

Ответ дал: parus77
0

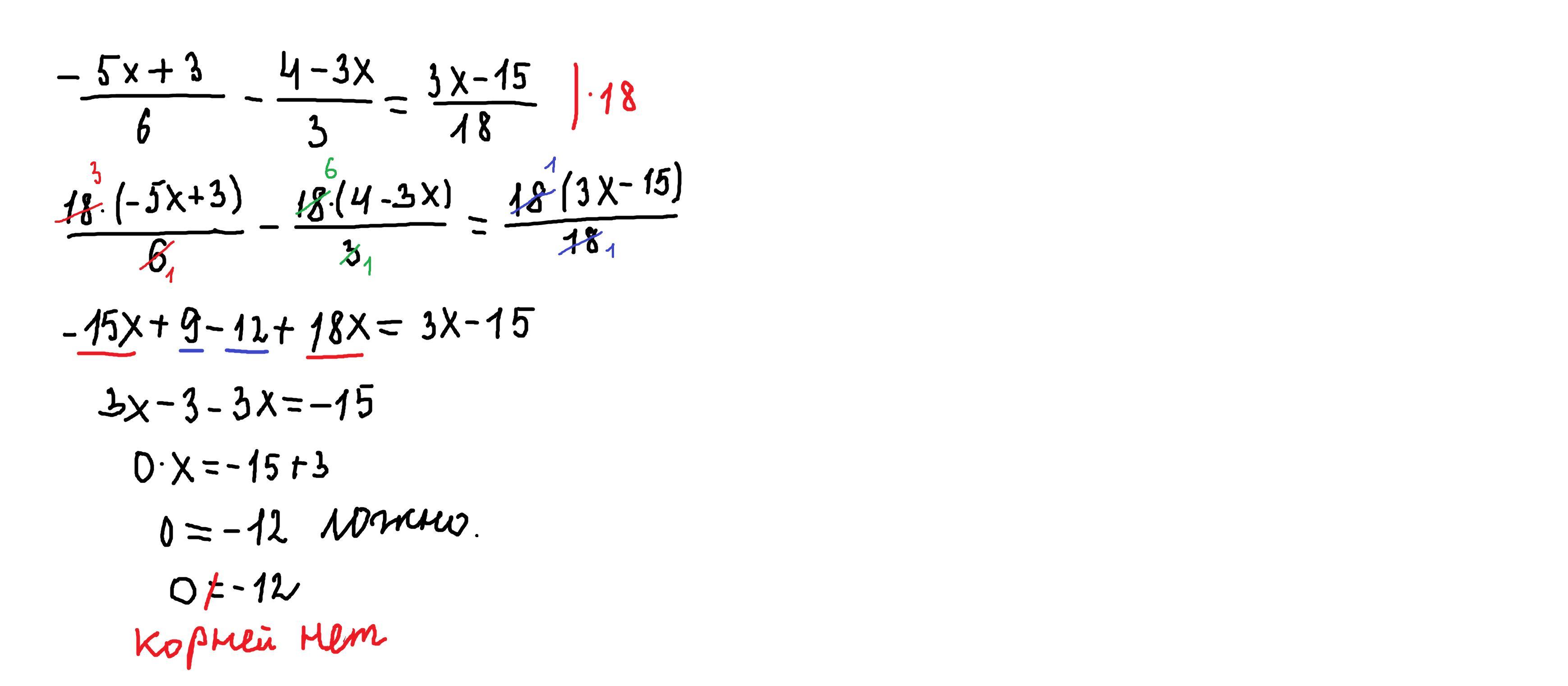
Ответ:

х∈∅   корней нет

Пошаговое объяснение:

Приложения:

vladmykhalchuk8: спасибо огромное но помоги у меня ещё 2 есть
vladmykhalchuk8: пожалуйста
Вас заинтересует