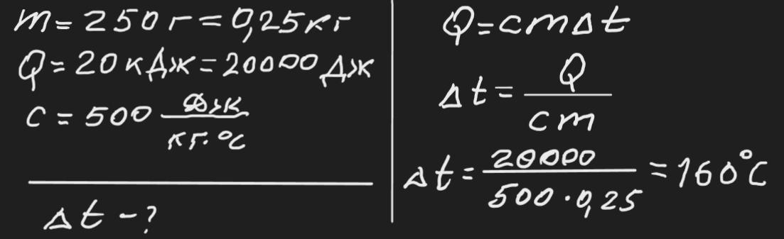
Для нагрівання сталевої деталі масою 250 г було передано 20кДж теплоти, на скільки градусів збільшилася температура деталі?
Ответы
Ответ дал:
1
Відповідь: 160 ⁰С
Пояснення:
Приложения:
Вас заинтересует
2 года назад
2 года назад
2 года назад
2 года назад
3 года назад
3 года назад
9 лет назад