• Предмет: Алгебра
  • Автор: gigtv5295
  • Вопрос задан 2 года назад

-8x⁵y×(-0.4)x²y³ сколько будет срочно?

Ответы

Ответ дал: Аноним
0

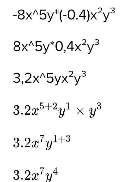
Ответ:

-8x^5y*(-0.4)x²y³

8x^5y*0,4x²y³

3,2x^5yx²y³

3.2 {x}^{5 + 2}  {y}^{1}  \times y ^{3}

3.2x ^{7}  {y}^{1 + 3}

3.2 {x}^{7}  {y}^{4}

Ответ дал: shuliarann
0

........................

Приложения:
Вас заинтересует