• Предмет: Математика
  • Автор: naofumi597
  • Вопрос задан 2 года назад

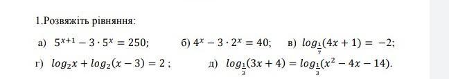
доброго дня допоможіть будь ласка з математикою буду сильно вдячний це до 10:25. Дуже конче потребую.​

Приложения:

Ответы

Ответ дал: s4ndstrm
1

Ответ:

как просил ))

надеюсь всё понятно )

Приложения:
Вас заинтересует