• Предмет: Физика
  • Автор: powergamergt
  • Вопрос задан 2 года назад

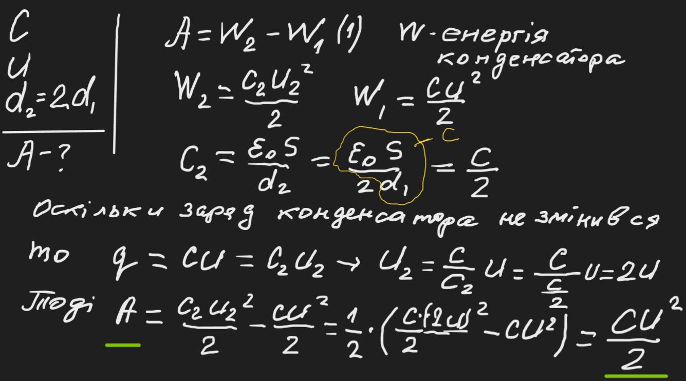
Плоский повітряний конденсатор має електроємність C і заряджений до
напруги U. Яку роботу треба зробити, щоб збільшити відстань між його
обкладками вдвічі?

Ответы

Ответ дал: zybkov1950
2

Відповідь:     Див. додаток

Пояснення:

Приложения:

yutyto: дай мені відповідь на питання в профілі ппжпжпжп\ж
Вас заинтересует