Ответы
Ответ дал:
1
Пошаговое объяснение:
Решение на фото. Удачи.
Приложения:

Ответ дал:
0
Пошаговое объяснение:
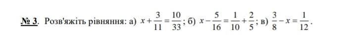
а)
х + 3/11 = 10/33
х = 10/33 - 3/11
х = 10/33 - 9/33
х = 1/33
б)
х - 5/6 = 1/10 + 2/5
х - 25/30 = 3/30 + 12/30
х - 25/30 = 15/30
х = 23/30 + 25/30
х = 48/30
х = 1 18/30
х = 1 3/5
в)
3/8 - х = 1/12
х = 3/8 - 1/12
х = 9/24 - 2/24
х = 7/24
Вас заинтересует
1 год назад
1 год назад
1 год назад
1 год назад
3 года назад
3 года назад
8 лет назад