• Предмет: Математика
  • Автор: arsenmarchenkoig
  • Вопрос задан 2 года назад

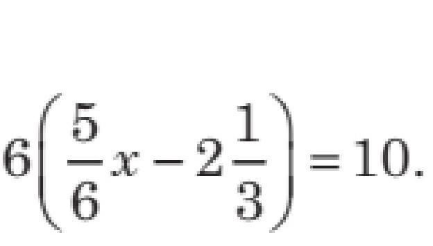
Зробити рівняння на картинці

Приложения:

Ответы

Ответ дал: manyny06
1

Ответ:

решение смотри на фотографии

Приложения:
Ответ дал: vg939073
0

Ответ:

4  \frac{4}{5}

............. ......

Приложения:
Вас заинтересует