• Предмет: Математика
  • Автор: inefeg2006
  • Вопрос задан 2 года назад

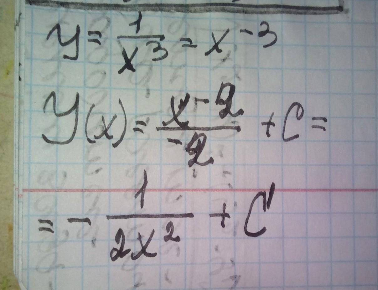
знайти первісну y=1/x^3​

Ответы

Ответ дал: manyny06
1

Ответ:

решение смотри на фотографии

Приложения:

rostikk1986: manyny, помоги пожалуйста это решить https://znanija.com/task/50543748?answeringSource=feedPublic%2FhomePage%2F4
Вас заинтересует