• Предмет: Математика
  • Автор: kirilllogvinenko
  • Вопрос задан 2 года назад

ДАЮ МНОГО БАЛЛОВ СРОЧНО!!!
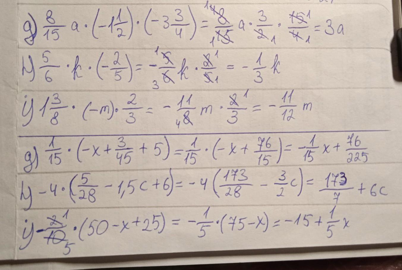
только то что обведено

Приложения:

Ответы

Ответ дал: sofyashkola101
1

Ответ:

решение в фотографии

Приложения:

kirilllogvinenko: ОГРОМНОЕ СПАСИБО
sofyashkola101: Пожалуйста
Вас заинтересует