Ответы
Ответ дал:
1
Ответ:
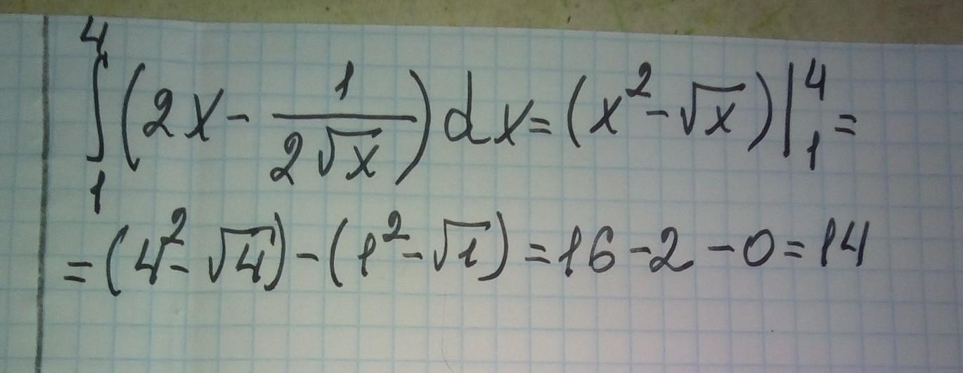
решение смотри на фотографии
Приложения:

inefeg2006:
дякую вам
Вас заинтересует
1 год назад
1 год назад
3 года назад
3 года назад
8 лет назад