• Предмет: Физика
  • Автор: padznas
  • Вопрос задан 2 года назад

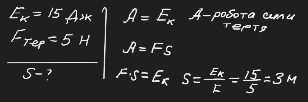
Визначити, на яку відстань відкотиться куля, якшо кінетична енергія на початку руху 15 Дж. а сила тертя під час руху дорівнює 5 Н.

Ответы

Ответ дал: zybkov1950
1

Відповідь: 3 м

Пояснення:

Приложения:
Вас заинтересует