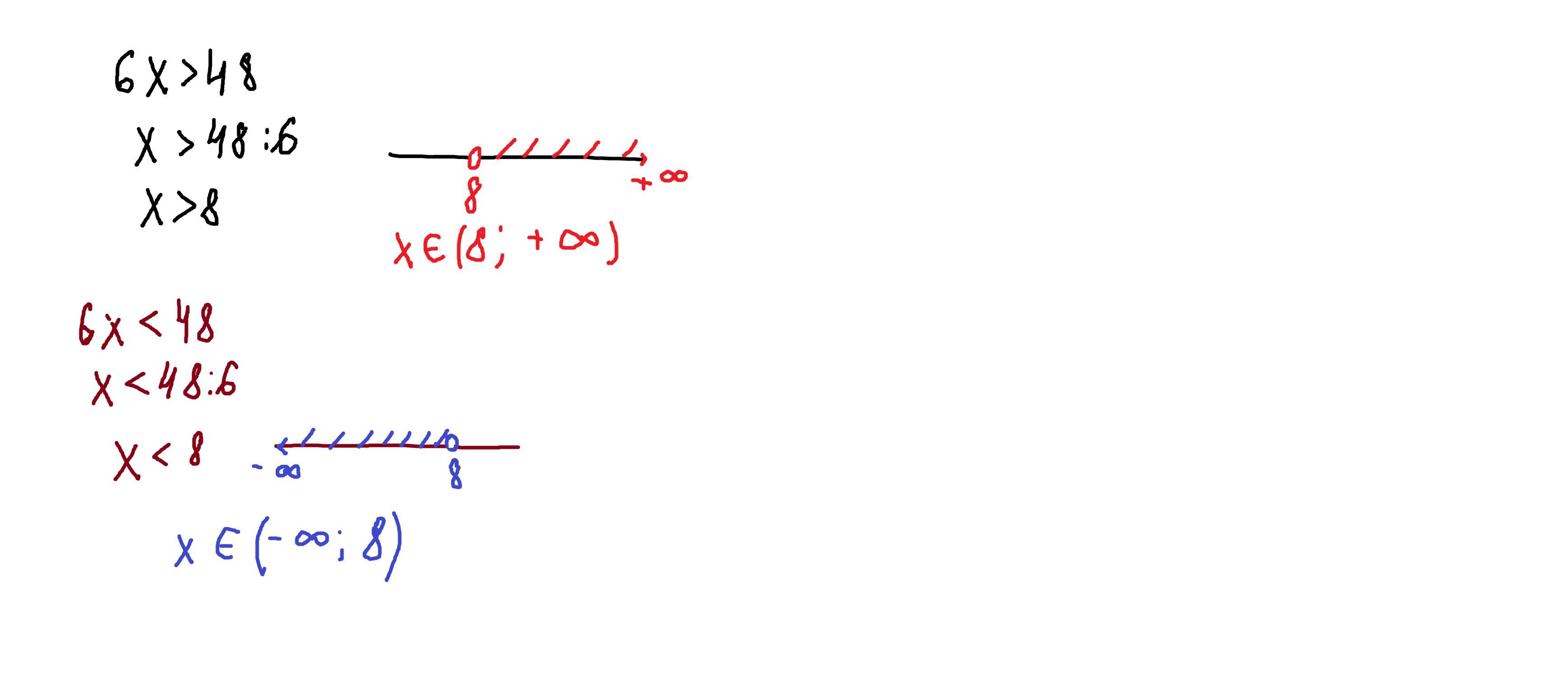
5. Який з проміжків є розв'язком нерівності 6x 48; A) xD (-D;8]; Б) x [8:+D); B) x (8;+) ;1) x (-0;8).
parus77:
A) xD (-D;8]; Б) x [8:+D); B) x (8;+) ;1) x (-0;8). ЭТО ОТВЕТЫ????
Ответы
Ответ дал:
1
Ответ:
Пошаговое объяснение:
решение внизу
Приложения:

Вас заинтересует
1 год назад
1 год назад
3 года назад
3 года назад
8 лет назад