Ответы
Ответ дал:
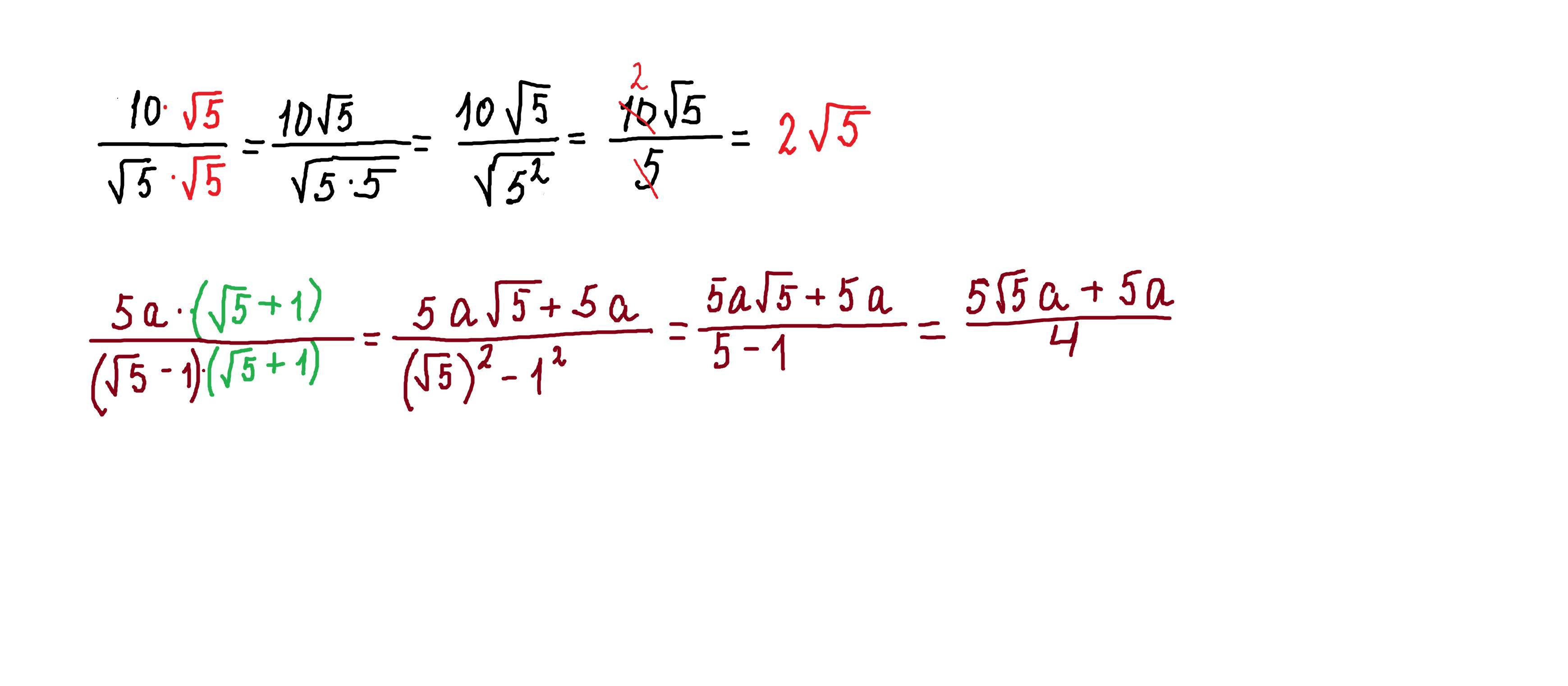
1
Ответ:
Пошаговое объяснение:
Приложения:

qwexs45:
спасибо,надеюсь это правильно
Вас заинтересует
1 год назад
1 год назад
3 года назад
3 года назад