Ответы
Ответ дал:
1
Ответ:
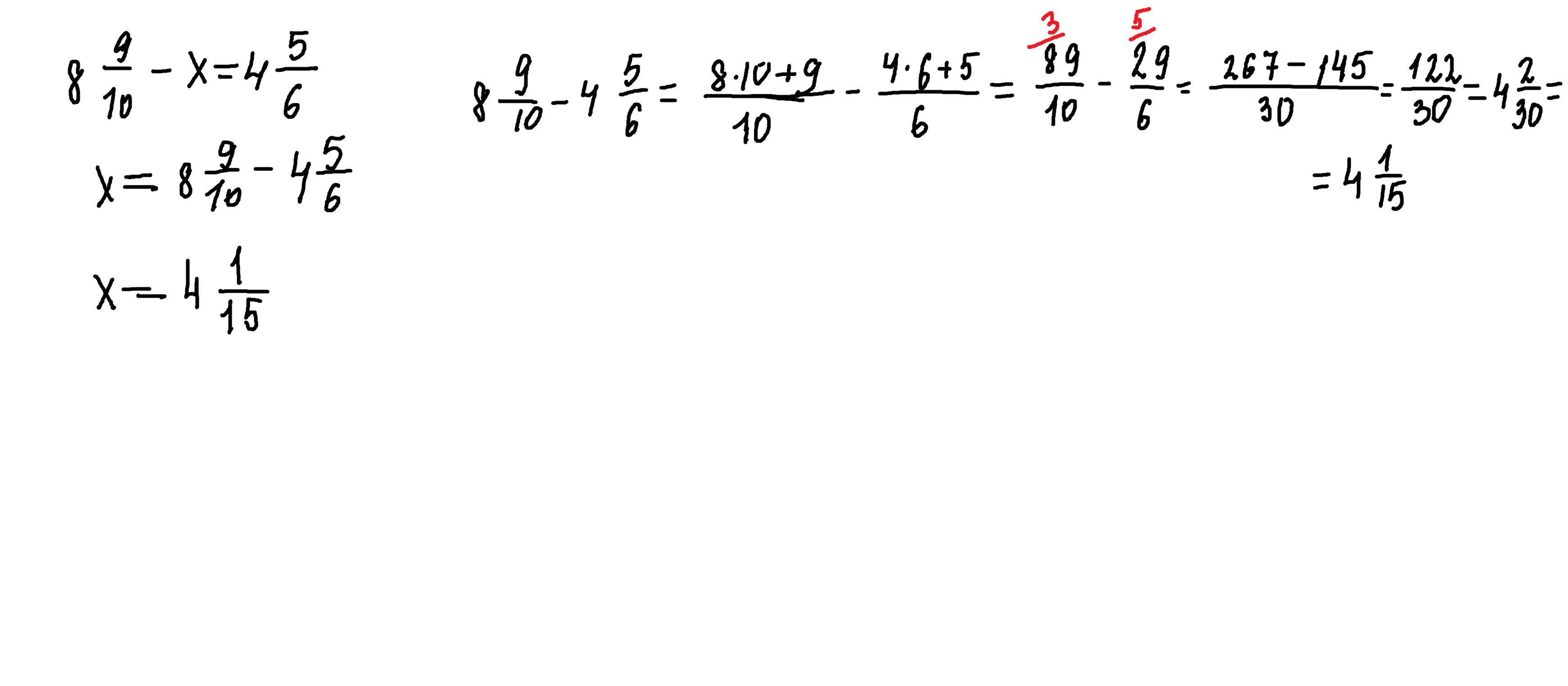
х=4 1/15
Пошаговое объяснение:
решение внизу
10=2*5
6=2*3
НоК(10;6)=2*5*3=30 общий знаменатель
30:10=3 30:6=5 допол. множители
Приложения:

Вас заинтересует
1 год назад
1 год назад
1 год назад
1 год назад
3 года назад