• Предмет: Алгебра
  • Автор: yegorpp
  • Вопрос задан 2 года назад

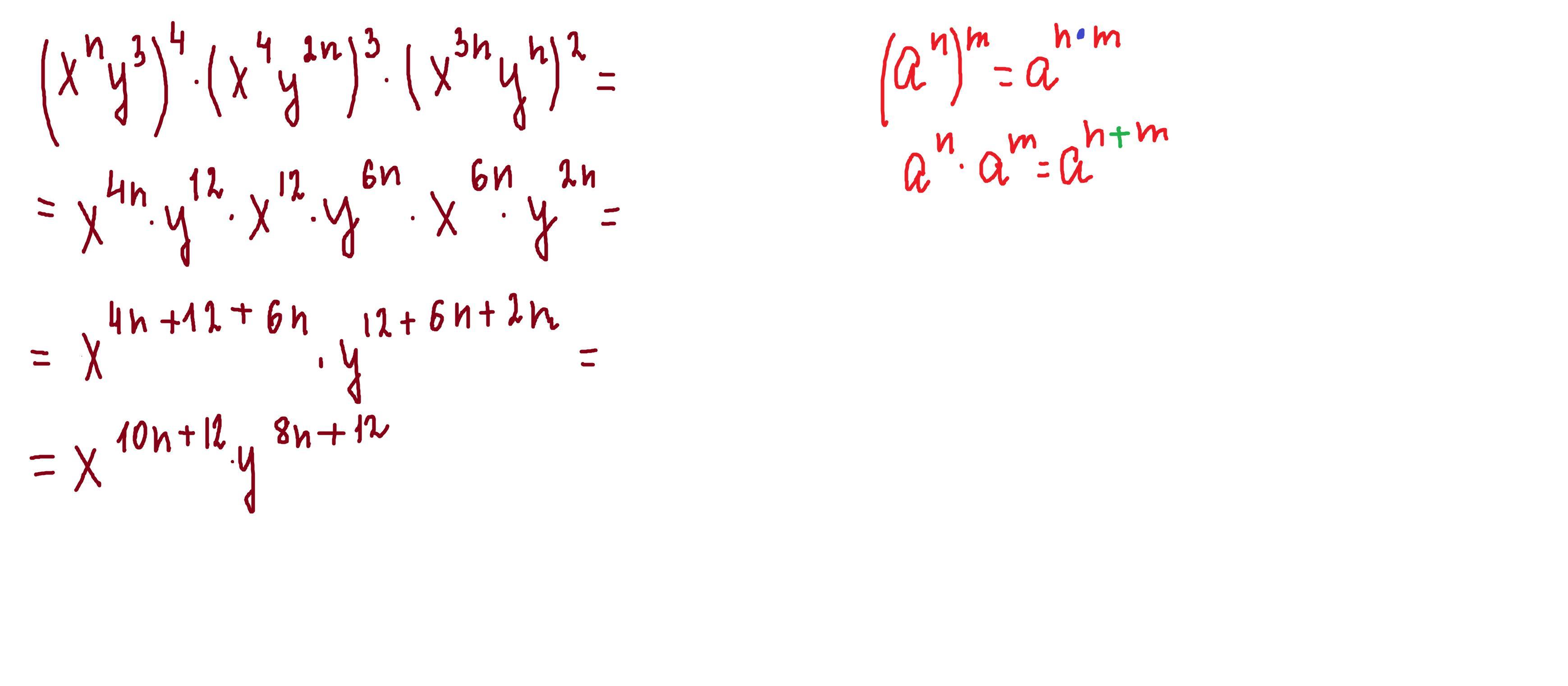
Срочно!! пожалуйста!! (x^n y^3)^4 * (x^4 y^2n)^3 * (x^3n y^n)^2

Ответы

Ответ дал: parus77
1

Ответ:

Объяснение:

применяем св-ва степеней

Приложения:

yegorpp: лучшая
Вас заинтересует