• Предмет: Алгебра
  • Автор: Аноним
  • Вопрос задан 2 года назад

срочно помогите очень срочно пожалуйста помогите умоляю

Приложения:

Ответы

Ответ дал: serikinzu12
0

Ответ:

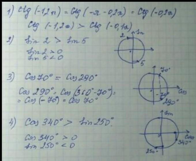
думаю помогла это правильно ну если что это правильно

Приложения:
Вас заинтересует