• Предмет: Математика
  • Автор: Byldabro
  • Вопрос задан 2 года назад

помогите с премером 3072:37

Ответы

Ответ дал: MuslimTM
0

Ответ:

3072 : 37 = 83,027


sprikeyt: неверно
Ответ дал: sprikeyt
2

Ответ:

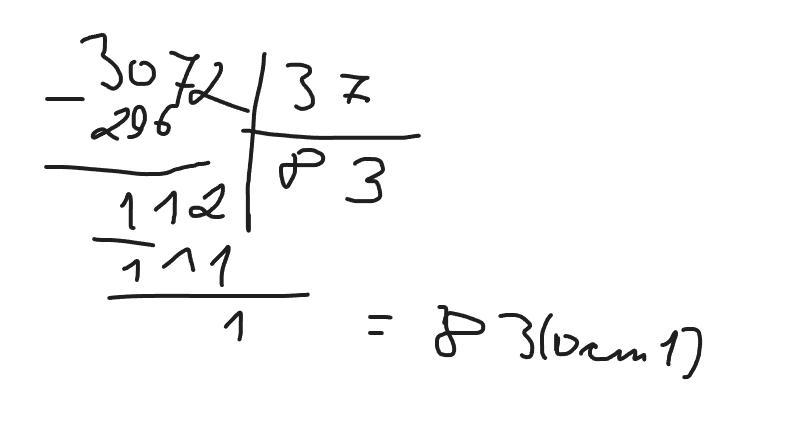
83 ( ост 1 )

Пошаговое объяснение:

На картинке

Приложения:
Вас заинтересует