• Предмет: Математика
  • Автор: lizakornilenkova
  • Вопрос задан 2 года назад

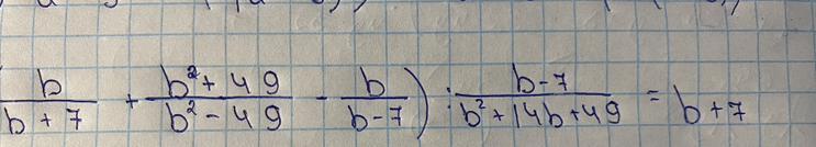
СРОЧНО!!ПОМОГИТЕ РЕШИТЬ.Доведіть тотожність:

Приложения:

Ответы

Ответ дал: mperesipkin
0

Ответ:

Пошаговое объяснение:

Приложения:
Вас заинтересует