• Предмет: Алгебра
  • Автор: khvostykovasofi
  • Вопрос задан 2 года назад

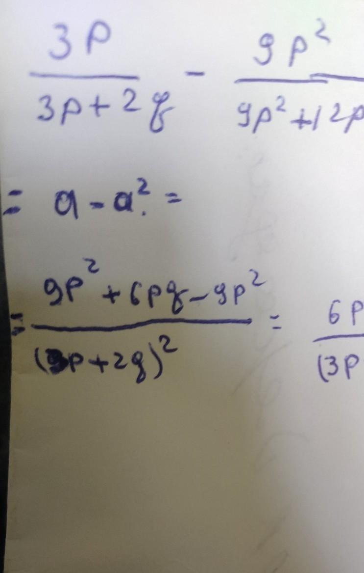
(3p)/(3p + 2q) * (9p ^ 2)/(9p ^ 2 + 12pq + 4q ^ 2)

срочно помогите нужно сдать до 22:00 !!

дам 15 баллов!!

Ответы

Ответ дал: kydyrmullaulagat
1

Ответ:

думаю тут все понятно..

Приложения:
Вас заинтересует