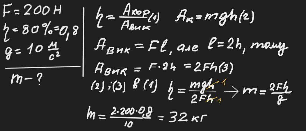
100 БАЛОВ Вантаж рівномірно піднімають за допомогою рухомого блока, прикладаючи силу 200 Н. Яку масу має вантаж, якщо ККД блока становить 80%?
Ответы
Ответ дал:
0
Відповідь: 32 кг
Пояснення:
Приложения:

Вас заинтересует
1 год назад
1 год назад
1 год назад
1 год назад
3 года назад
3 года назад
8 лет назад
8 лет назад