• Предмет: Алгебра
  • Автор: Аноним
  • Вопрос задан 2 года назад

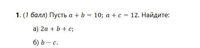
помогите пожалуйста, задание на скрине

Приложения:

Ответы

Ответ дал: mka111xx
1

Ответ:

а)2а + b + c = 22

б)b - c = -2

Объяснение:

Если a +b=10 то разделив это число пополам получится а≈5 и b≈5 ; a+c=12 в этом случае мы знаем что а≈5 и если от 12-5=7 , значит с≈7 ,следовательно:

а) 2 × 5+5+7=22

б) 5-7= -2

Вас заинтересует