• Предмет: Алгебра
  • Автор: dianadi2509
  • Вопрос задан 2 года назад

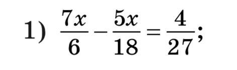
Розв'яжіть рівняння:









помогите пожалуйста!Пожалуйста, мне нужно с объяснениями

Приложения:

Ответа на этот вопрос пока нет. Попробуйте найти его через форму поиска.

Вас заинтересует