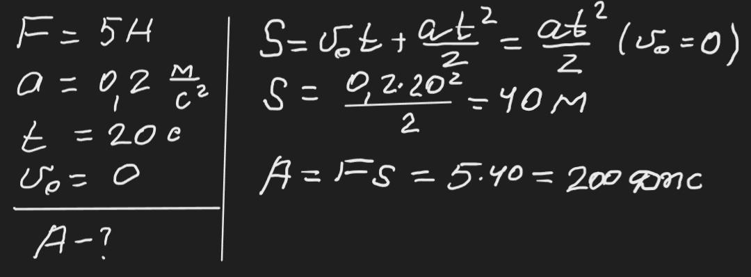
Під дією сталої сили 5Н тіло починає рухаться з прискоренням 0,2м/с. Яку роботу звершає ця сила за перші 20с дії
Ответы
Ответ дал:
1
Відповідь: 200 Дж
Пояснення:
Приложения:
Вас заинтересует
2 года назад
2 года назад
2 года назад
2 года назад
3 года назад
3 года назад
9 лет назад
9 лет назад