• Предмет: Математика
  • Автор: adcdenmin3
  • Вопрос задан 2 года назад

Помогите пожалуйста.​

Приложения:

Ответы

Ответ дал: NNNLLL54
0

Ответ:

1) Если прямая параллельна плоскости, то направляющий вектор прямой  \vec{s}=(m,n,p)  ортогонален нормальному вектору плоскости   \vec{n}=(A,B,C) , значит скалярное произведение вектора нормали и направляющего вектора будет равно 0 . И любая точка данной прямой не удовлетворяет уравнению плоскости .  То есть выполняются условия:

\left\{\begin{array}{l}Am+Bn+Cp=0\ ,\\Ax_0+By_0+Cz_0+D\ne 0\ .\end{array}\right      

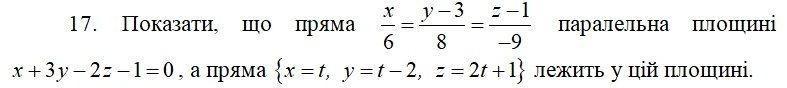
Прямая  l:\dfrac{x}{6}=\dfrac{y-3}{8}=\dfrac{z-1}{-9}  , плоскость   \pi :x+3y-2z-1=0  .

Векторы:   \vec{s}=(6;8;-9)\ ,\ \ \vec{n}=(\, 1;3;-2)  . Точка на прямой M_0(0;3;1) .

Скалярное произведение векторов равно

\vec{s}\cdot \vec{n}=6\cdot 1+8\cdot 3-9\cdot (-2)=6+24+18=48\ne 0  

Первое условие не выполняется . Значит нет смысла проверять второе условие .

P.S.  Чтобы первое условие выполнилось, надо было в условии ординату какого-либо вектора записать со знаком минус .

 Прямая l  не параллельна плоскости  \pi , она её пересекает .

2)  Если прямая лежит в плоскости, то направляющий вектор прямой  \vec{s}=(m,n,p)  ортогонален нормальному вектору плоскости   \vec{n}=(A,B,C)  , и любая точка данной прямой удовлетворяет уравнению плоскости . Выполняются условия:

\left\{\begin{array}{l}Am+Bn+Cp=0\ ,\\Ax_0+By_0+Cz_0+D=0\ .\end{array}\right    

Плоскость   \pi :x+3y-2z-1=0  ,  прямая   \left\{\begin{array}{l}x=t\ ,\\y=t-2\ ,\\z=2t+1\ .\\\end{array}\right  

Векторы:  \vec{n}=(\, 1;3;-2)\ ,\ \vec{s}=(\, 1;1;2)  , точка на прямой  M_0(\, 0;-2;1)  .

Скалярное произведение векторов равно

\vec{s}\cdot \vec{n}=1\cdot 1+1\cdot 3+2\cdot (-2)=6+3-4=5\ne 0  

Первое условие не выполняется . Значит нет смысла проверять второе условие .

Прямая l  не лежит в плоскости  \pi , она её пересекает .

Вас заинтересует