• Предмет: Алгебра
  • Автор: nastiiasukhanova
  • Вопрос задан 2 года назад

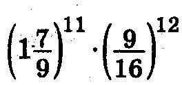
Будь ласка допоможіть До кінця тесту залишилось 7 хв

Приложения:

Ответы

Ответ дал: tatsach
2

Ответ:

Объяснение:

.......

Приложения:
Вас заинтересует