• Предмет: Математика
  • Автор: sofianosikova988
  • Вопрос задан 2 года назад

помогите пожалуйста

Приложения:

Ответы

Ответ дал: Аноним
1

Ответ:

Пошаговое объяснение:

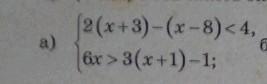
2(x+3)-(x-8)<4 ⇒ 2x+6-x+8<4 ⇒ x<4-14 ⇒ x<-10 ⇒ x₁∈(-∞; -10)

6x>3(x+1)-1 ⇒ 6x>3x+3-1 ⇒ 6x-3x>2 ⇒ x>2/3 ⇒ x₂∈(2/3; ∞)

x₁∩x₂=(-∞; -10)∩(2/3; ∞)=∅

Ответ: решений нет.

Вас заинтересует