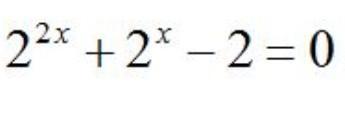
Показательные уравнения. Нужно решение с объяснением. Скрин из photomath не катит :)
Приложения:

Ответы
Ответ дал:
1
Ответ:
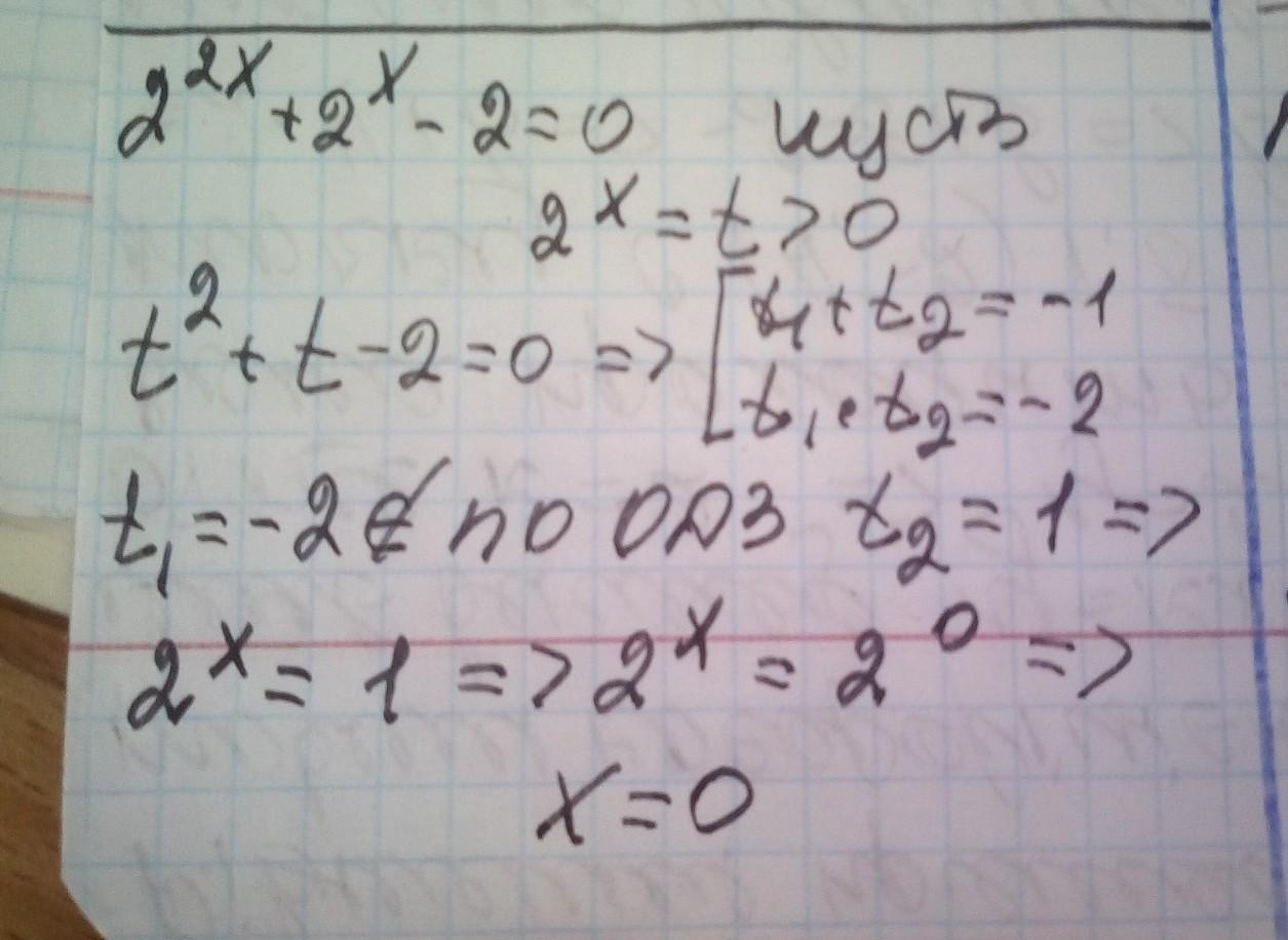
решение смотри на фотографии
Приложения:

micentik:
В ответе должно быть x = 0
Вас заинтересует
1 год назад
1 год назад
1 год назад
1 год назад
3 года назад
3 года назад
8 лет назад