• Предмет: Математика
  • Автор: mafikgh
  • Вопрос задан 2 года назад

Решите дифференциальные уравнения метод Бернулли срочно !!!

Приложения:

Ответы

Ответ дал: mathkot
1

Ответ:

Решения дифференциального уравнения:

\boldsymbol{\boxed{\ln \bigg  |\dfrac{y}{x} - 1 \bigg | - \dfrac{x}{y - x} + \ln x = C}}

\boldsymbol{\boxed{y = x}}

\boldsymbol{\boxed{x = 0}}

Примечание:

t \ - функция зависит от аргумента х

По таблице интегралов:

\boxed{\displaystyle \int x^{n} \ dx = \frac{x^{n + 1}}{n + 1} + C; n \neq -1, x > 0}

\boxed{\int {\frac{1}{x} } \, dx = \ln|x| }

По свойствам интегралов:

\boxed{ \displaystyle \int \sum\limits_{i=1}^n {C_{i}f_{i}(x)} \, dx = \sum\limits_{i=1}^nC_{i} \int {f_{i}(x)} \, dx}

Пошаговое объяснение:

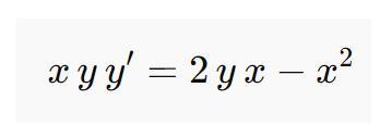
xyy' = 2yx - x^{2}

xyy' - 2yx = - x^{2}

xy(y' - 2) = - x^{2}

y' - 2 = -\dfrac{x^{2} }{xy}

y' = 2 - \dfrac{x}{y}

-----------------------------------------------

Замена:

y = tx \Longrightarrow t = \dfrac{y}{x} \ (x \neq 0)

y' = (tx)' = t'x + tx' = t'x + t

t' = \dfrac{dt}{dx}

При х = 0:

0 \cdot yy' = 2y \cdot 0 - 0^{2}

0 = 0 \Longrightarrow x = 0 - решение дифференциального уравнения

-----------------------------------------------

t'x + t = 2 - \dfrac{x}{tx}

\dfrac{dt}{dx} \cdot x + t = 2 - \dfrac{1}{t}

\dfrac{dt}{dx} \cdot x  = 2 - t - \dfrac{1}{t} = \dfrac{2t - t^{2} - 1}{t}

\dfrac{t \ dt}{ - t^{2} + 2t - 1} = \dfrac{dx}{x} \bigg | \cdot (-1)

\dfrac{t \ dt}{t^{2} - 2t + 1} = -\dfrac{dx}{x}

\dfrac{t - 1 + 1}{(t - 1)^{2}} \ dt = -\dfrac{dx}{x}; t \neq 1

------------------------------------------------

При t = 1:

y = tx = 1 \cdot x = x - решение дифференциального уравнения

-------------------------------------------------

\displaystyle \int \dfrac{t - 1 + 1}{(t - 1)^{2}} \ dt = \int -\dfrac{dx}{x}

\displaystyle \int \dfrac{(t - 1)}{(t - 1)^{2}} \ dt +  \int \dfrac{ 1}{(t - 1)^{2}} \ dt = -\int \dfrac{dx}{x}

\displaystyle \int \dfrac{1}{(t - 1)} \ d(t - 1) +  \int (t - 1)^{-2}\ d(t - 1) = -\ln|x| + C

\ln|t - 1| + \dfrac{(t - 1)^{-2 + 1}}{-2 + 1} + \ln x = C

\ln|t - 1| - \dfrac{1}{t - 1} + \ln x = C

\ln \bigg  |\dfrac{y}{x} - 1 \bigg | - \dfrac{1}{\dfrac{y}{x} - 1 } + \ln x = C

\boxed{\ln \bigg  |\dfrac{y}{x} - 1 \bigg | - \dfrac{x}{y - x} + \ln x = C} - общий интеграл дифференциального уравнения


mafikgh: Но уже поздно)
Вас заинтересует