• Предмет: Геометрия
  • Автор: Juliana2009
  • Вопрос задан 2 года назад

Геометрия соч помогите 1,3,4 ………

Приложения:

Ответы

Ответ дал: 79113263811
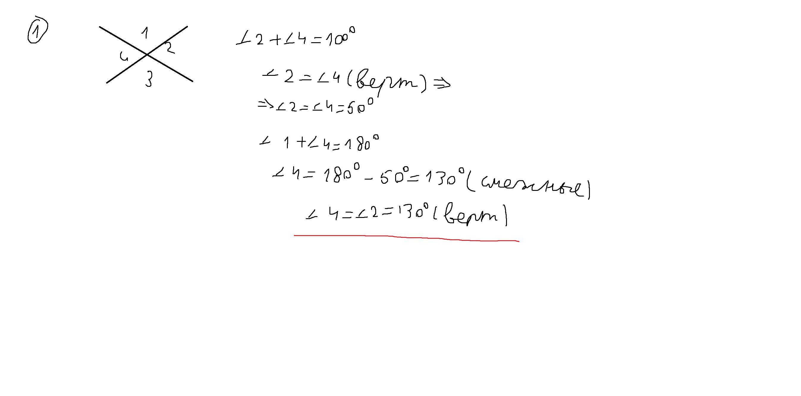
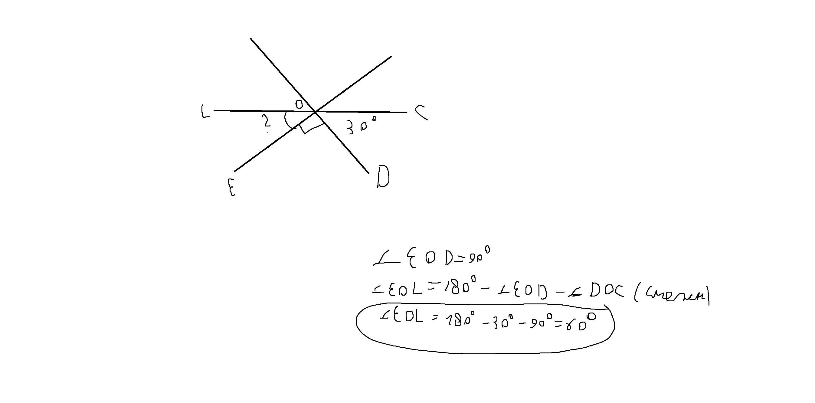
1

Ответ: решение на фото

Объяснение: на фото

Приложения:

Juliana2009: Спасибо
Вас заинтересует