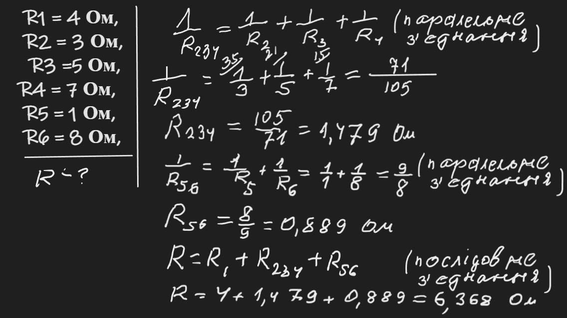
Визначити сумарний опорі за заданою схемою, якщо R1 = 4 Ом, R2 = 3 Ом, R3 =5 Ом, R4 = 7 Ом, R5 = 1 Ом, R6 = 8 Ом,
Приложения:

Ответы
Ответ дал:
1
Відповідь: ≈ 6,368 Ом
Пояснення:
Приложения:

Вас заинтересует
1 год назад
1 год назад
1 год назад
3 года назад
3 года назад
8 лет назад